• Предмет: Алгебра
  • Автор: oksi99
  • Вопрос задан 11 лет назад

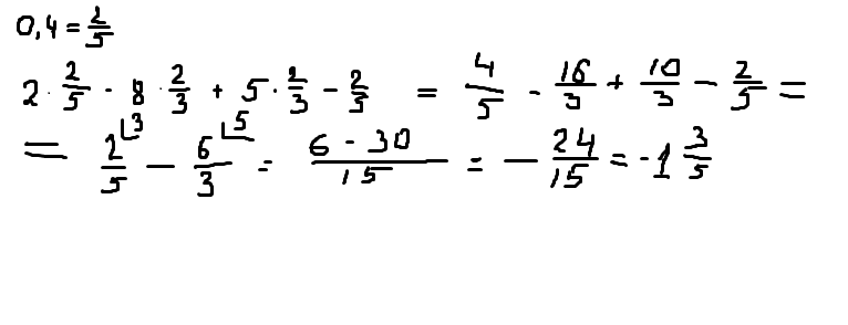
Найдите значение выражения 2х-8у+5у-х при х=0.4 и у=2/3

Ответы

Ответ дал: Yaroslav13
0

.............................................

Приложения:
Вас заинтересует
3 года назад