Ответы
Ответ дал:
0
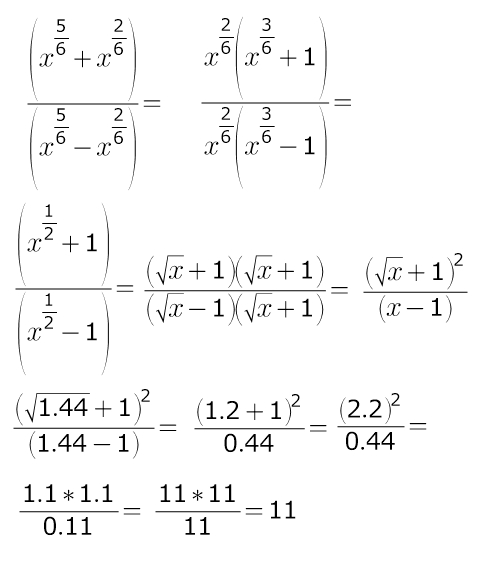
-- вынести общий множитель...
-- избавиться от иррациональности в знаменателе...
-- подставить х=1.44 и устно вычислить...
-- избавиться от иррациональности в знаменателе...
-- подставить х=1.44 и устно вычислить...
Приложения:

Вас заинтересует
2 года назад
7 лет назад
10 лет назад
10 лет назад
10 лет назад