1.Скорость материальной точки на пути 60 м увеличилась в 5 раз за 10 с.Определить ускорение,считая его постоянным.
нужно как можно быстрее решить!=)
Ответы
Ответ дал:
0
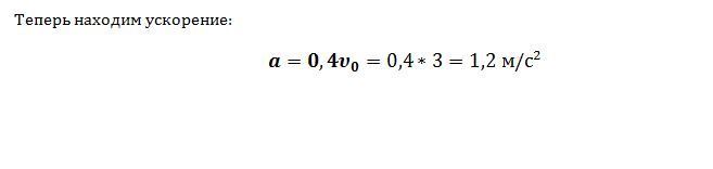
Решение во вложении:
Приложения:


Вас заинтересует
2 года назад
2 года назад
8 лет назад
10 лет назад
10 лет назад
10 лет назад