найти частное решение дифференциального уравнения удовлетворяющее указанному начальному условию у`+3у/х=2/х^3 ;у(1)=2
Ответы
Ответ дал:
0
Ну как-то так))
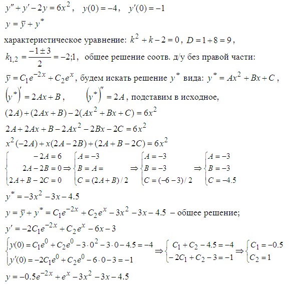
Держи)))
Держи)))
Приложения:

Вас заинтересует
2 года назад
2 года назад
7 лет назад
7 лет назад
10 лет назад
10 лет назад
10 лет назад