• Предмет: Алгебра
  • Автор: CooperJapan
  • Вопрос задан 10 лет назад

решите плис ! очень надо заранее спс!!!

Приложения:

Ответы

Ответ дал: inblu
0
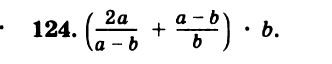
 frac{2ab+(a-b)(a-b)}{(a-b)b}*b= frac{(2ab+a^2-2ab+b^2)b}{(a-b)*b}= frac{(a^2+b^2)b}{(a-b)b}= frac{a^2+b^2}{a-b}
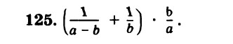
 frac{b+a-b}{(a-b)b}* frac{b}{a}= frac{ab}{(a-b)ab}= frac{1}{a-b}
 frac{(a+b)^2-2ab}{a(a+b)}*(a+b)= frac{a^2+2ab+b^2-2ab}{a(a+b)}*(a+b)= frac{(a^2+b^2)(a+b)}{a(a+b)}= frac{a^2+b^2}{a}

Вас заинтересует