• Предмет: Алгебра
  • Автор: b842893
  • Вопрос задан 10 лет назад

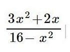
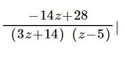
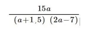
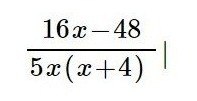
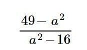
НАЙДИТЕ ЗНАЧЕНИЯ ПЕРЕМЕННЫХ,ПРИ КОТОРЫХ ДРОБЬ РАВНА НУЛЮ

Приложения:

Ответы

Ответ дал: Амелия15
0
Дробь равна нулю, если ее числитель равен нулю.
1) 48:16=3
16·3-48=0 x=3
2)15·a=0
 15·0=0
a=0
3)-14z=-28 z=2
4) 3x²+2x=0
x=0
5) 49-a²=0
7²=49
a²=7

Ответ дал: b842893
0
ОГРОМНОЕ СПАСИБО!
Ответ дал: Амелия15
0
ВАМ СПАСИБО!:))
Вас заинтересует