• Предмет: Физика
  • Автор: samopro
  • Вопрос задан 10 лет назад

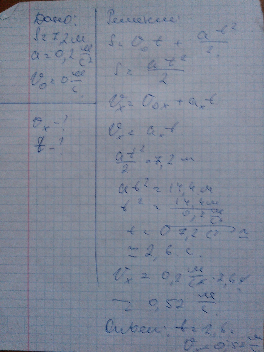
Тело двигаясь из состояния покоя,проходит путь 7,2 м. с ускорением 0,2м/с^2.Определить время движения и конечную скорость.

Ответы

Ответ дал: Аноним
0
Смотри решение на фото.
Приложения:
Вас заинтересует