• Предмет: Алгебра
  • Автор: megalize
  • Вопрос задан 11 лет назад

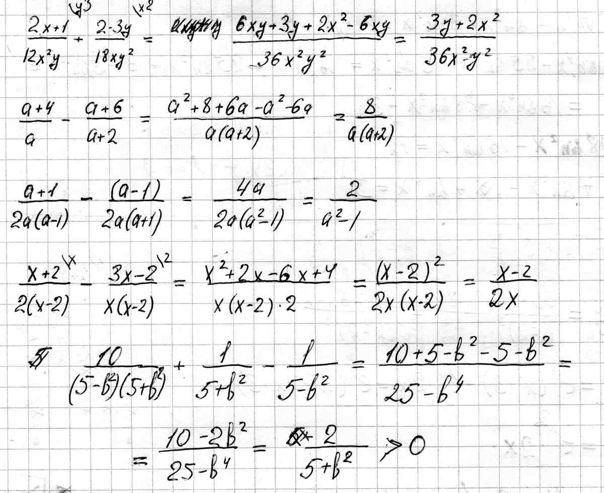
Помогите решить 3 и 5 номер, и скажите ответ на 2

Приложения:

Ответы

Ответ дал: Гоша68
0

1/(5+x)=1/3,5=2/7 решение заданий в файле.

Приложения:
Вас заинтересует