• Предмет: Физика
  • Автор: Deadfigis10
  • Вопрос задан 11 лет назад

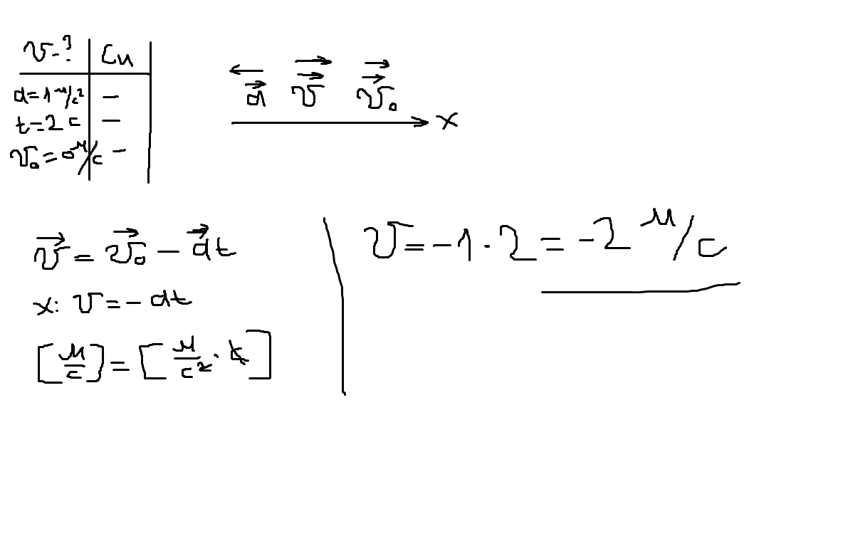
Ускорение тела равно 1 м/с2 и направлено противополож­но его скорости. На какую величину изменится скорость тела за 2 с движения?

Ответы

Ответ дал: acid21
0

ну вот как-то так в общем.

Приложения:
Вас заинтересует