Ответы
Ответ дал:
0
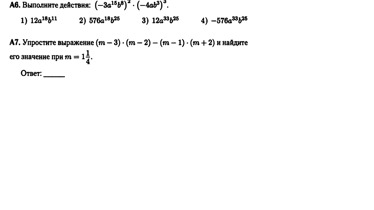
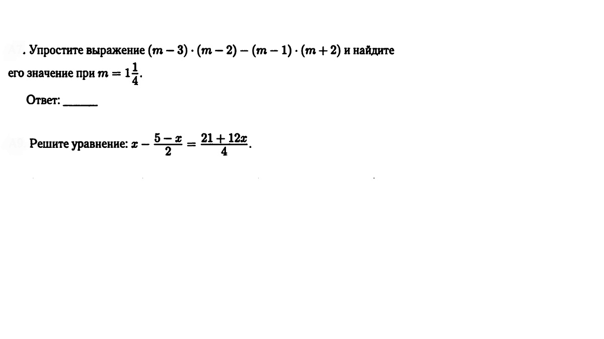
(m-3)(m-2)-(m-1)(m+2)=m²-3m-2m+6-m²+m-2m+2=-6m+8;
m=1¹/₄ ⇒-6(1¹/₄)+8=(-6)·⁵/₄+8=-³°/₄+8=-7¹/₂+8=1/2;
(-3a¹⁵b⁸)²·(-4ab³)³=12a³°⁺³b¹⁶⁺⁹=12a³³b²⁵
m=1¹/₄ ⇒-6(1¹/₄)+8=(-6)·⁵/₄+8=-³°/₄+8=-7¹/₂+8=1/2;
(-3a¹⁵b⁸)²·(-4ab³)³=12a³°⁺³b¹⁶⁺⁹=12a³³b²⁵
Ответ дал:
0
Если не сложно сделай еще одно пожалуйста
Вас заинтересует
3 года назад
3 года назад
8 лет назад
8 лет назад
10 лет назад
11 лет назад