Ответы
Ответ дал:
0
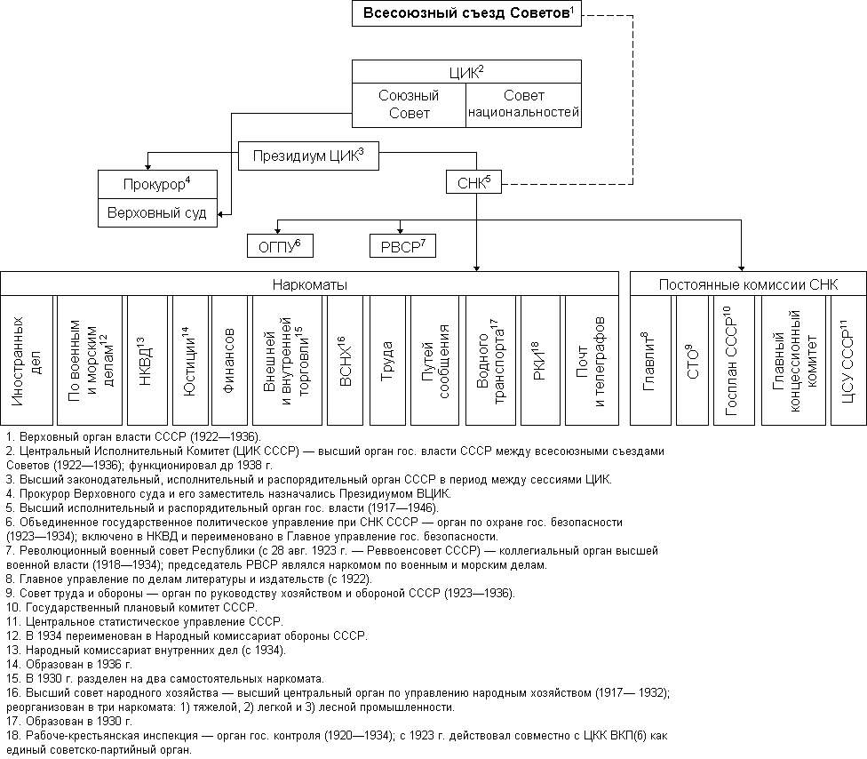
выбери подходящую схему
Приложения:



Вас заинтересует
2 года назад
7 лет назад
10 лет назад
10 лет назад
10 лет назад