Ответы
Ответ дал:
0
Я несовсем уверенна так как там дескреминант ДОЛЖЕН раскладываться . А такое большое число неможет....
формулы:
1)D=b^2-4ac
x =
Приложения:

Ответ дал:
0
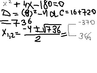
х² + 4х - 180 = 0
Д = 4² - 4 * 1 * (-180) = 16 + 720 = 736
√Д = √736 = 4√46
х1 = (-4 + 4√36)/2 = -4(1 - √36) / 2 = -2(1 - √36) = -2 + 2√36
х2 = -2 - 2√36
Приложения:

Вас заинтересует
2 года назад
8 лет назад
8 лет назад
10 лет назад
10 лет назад
10 лет назад