• Предмет: Геометрия
  • Автор: Funnygirl1
  • Вопрос задан 11 лет назад

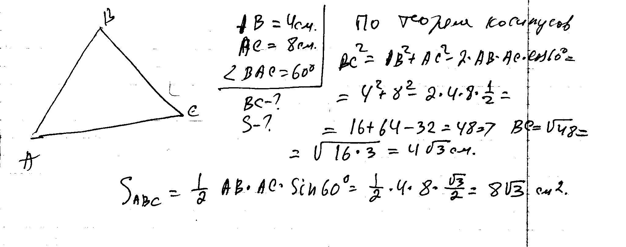
Дві сторони трикутника дорівнюють 4 см і 8 см,а кут між ними - 60.Знайдіть третю сторону трикутника та його площу.

Ответы

Ответ дал: ужнеужели
0
решение в скане.............
Приложения:
Вас заинтересует