• Предмет: Математика
  • Автор: Аноним
  • Вопрос задан 10 лет назад

найдите значение выражения (3 1/7 - 2 3/14) + ( 2 3/42 - 1 1/7)

Ответы

Ответ дал: amendan
0
( 3 1/7 - 2 3/14)+(2 3/42 -1)=(3 6/42-2 9/42)+(2 3/42-1)=39/42+1 3/42=1 42/42=2
3 1 /7=3 6/42
2 3 /14=2 9/42

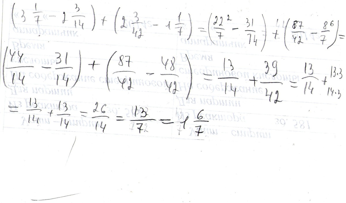
Ответ дал: Nastya171167
0
смотри решение во вложении
Приложения:
Вас заинтересует