Ответы
Ответ дал:
0
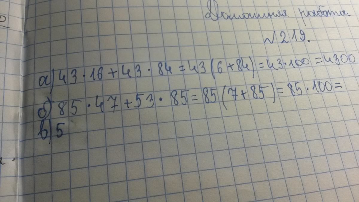
а) 43 * 16 + 43 * 84 = 43 * (16 + 84) = 43 * 100 = 4 300
б) 85 * 47 + 53 * 85 = 85 * (47 + 53) = 85 * 100 = 8 500
в) 54 * 60 + 460 * 6 = 54 * 60 + 46 * 60 = 60 * (54 + 46) = 60 * 100 = 6 000
г) 23 * 320 + 230 * 68 = 23 * 320 + 23 * 680 = 23 * (320 + 680) = 23 * 1000 = 23 000
д) 62 * 16 + 38 * 16 = 16 * (62 + 38) = 16 * 100 = 1 600
е) 85 * 44 + 44 * 15 = 44 * (85 + 15) = 44 * 100 = 4 400
ж) 240 * 710 + 7 100 = 710 * (240 + 10) = 710 * 250 = 177 500
з) 38 * 5 800 + 380 = 38 * (5 800 + 10) = 38 * 5 810 = 220 780
б) 85 * 47 + 53 * 85 = 85 * (47 + 53) = 85 * 100 = 8 500
в) 54 * 60 + 460 * 6 = 54 * 60 + 46 * 60 = 60 * (54 + 46) = 60 * 100 = 6 000
г) 23 * 320 + 230 * 68 = 23 * 320 + 23 * 680 = 23 * (320 + 680) = 23 * 1000 = 23 000
д) 62 * 16 + 38 * 16 = 16 * (62 + 38) = 16 * 100 = 1 600
е) 85 * 44 + 44 * 15 = 44 * (85 + 15) = 44 * 100 = 4 400
ж) 240 * 710 + 7 100 = 710 * (240 + 10) = 710 * 250 = 177 500
з) 38 * 5 800 + 380 = 38 * (5 800 + 10) = 38 * 5 810 = 220 780
Вас заинтересует
3 года назад
3 года назад
8 лет назад
8 лет назад
10 лет назад
10 лет назад
11 лет назад
11 лет назад