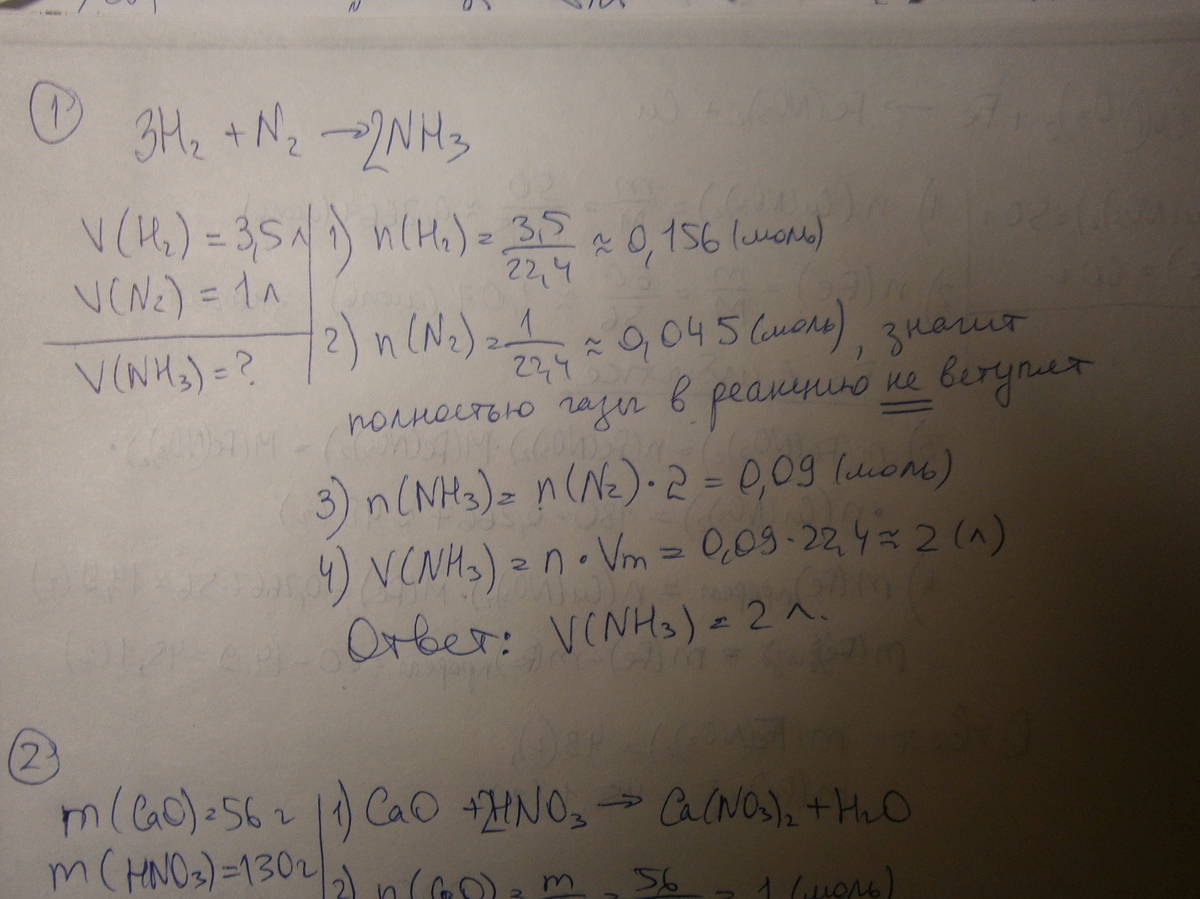
1)Вычислите, могут ли полностью вступить в реакцию предложенные объемы газов и какой объем продукта получиться . a) 3.5 л H и 1 литр N2 .
2)Сколько граммов соли получится если для реакции взять указанные массы исходных веществ a) 56 гр CaO и 130 гр HNO3
Ответы
Ответ дал:
0
2 задачи в прикреплённых файлах
Приложения:


Ответ дал:
0
Большое спасибо)
Вас заинтересует
2 года назад
2 года назад
7 лет назад
7 лет назад
10 лет назад
10 лет назад
10 лет назад