Ответы
Ответ дал:
0
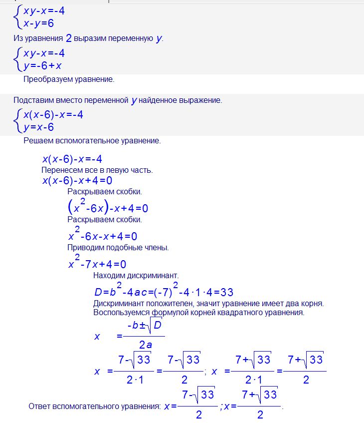
Решение:
см. рис.
=====================================================================
Приложения:



Вас заинтересует
2 года назад
2 года назад
8 лет назад
10 лет назад
10 лет назад