• Предмет: Алгебра
  • Автор: babyops
  • Вопрос задан 11 лет назад

помогите пожалуйста. не могу понять 

Приложения:

Ответы

Ответ дал: Аноним
0

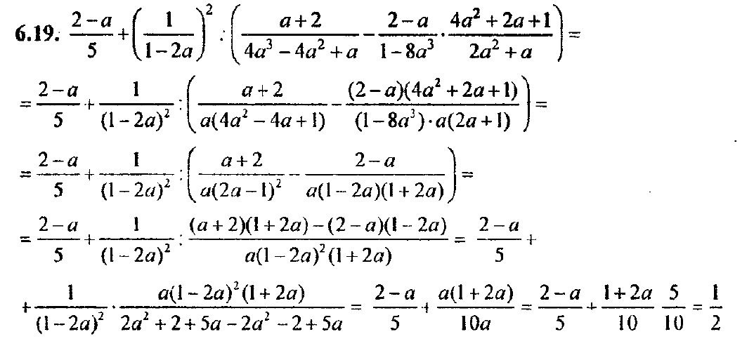
Решение:

см. рис.

====================================================

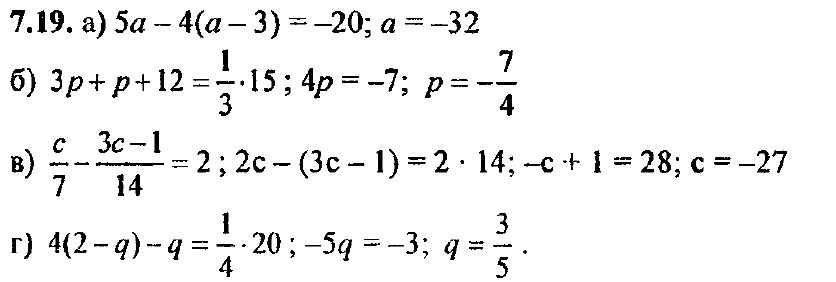
Приложения:
Вас заинтересует