• Предмет: Алгебра
  • Автор: alina11062002
  • Вопрос задан 10 лет назад

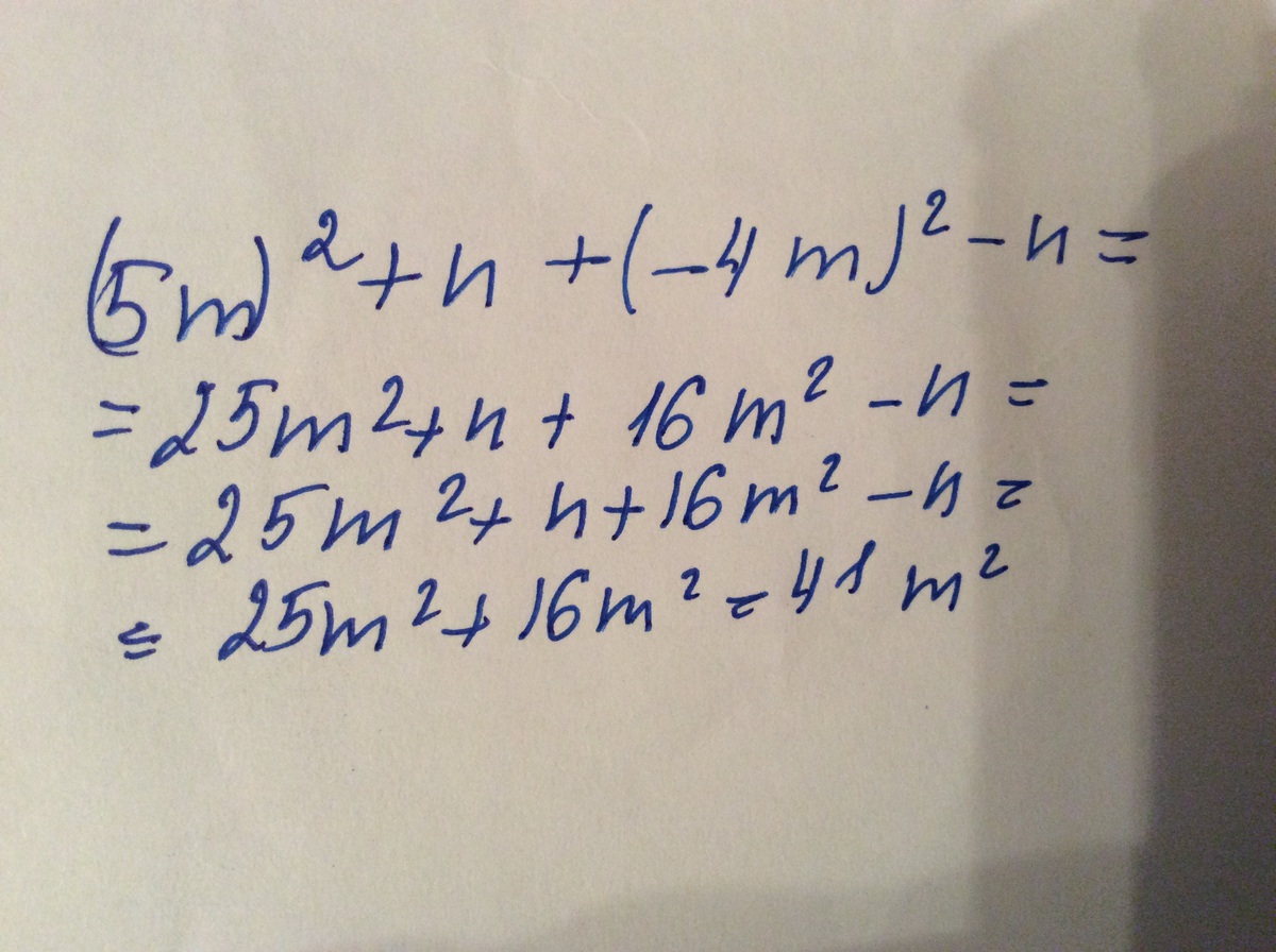
Сколько будет:
5m в квадрате + n + (-4) m в квадрате - n=

Ответы

Ответ дал: сильвичка
0
Вот решение, думаю правильно:) удачи
Приложения:
Ответ дал: alina11062002
0
А как вставить фото что бы мне смогли по фотке решить?!
Вас заинтересует