Ответы
Ответ дал:
0
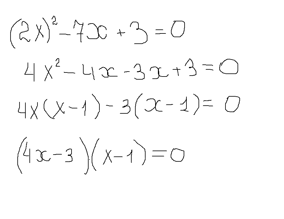
Условие записано не понятно. Если раскладывать на множители, то почему = 0?
И что в квадрате Х или 2Х ?
И что в квадрате Х или 2Х ?
Приложения:

Вас заинтересует
2 года назад
2 года назад
7 лет назад
10 лет назад
10 лет назад
10 лет назад