• Предмет: Алгебра
  • Автор: batikakolika
  • Вопрос задан 11 лет назад

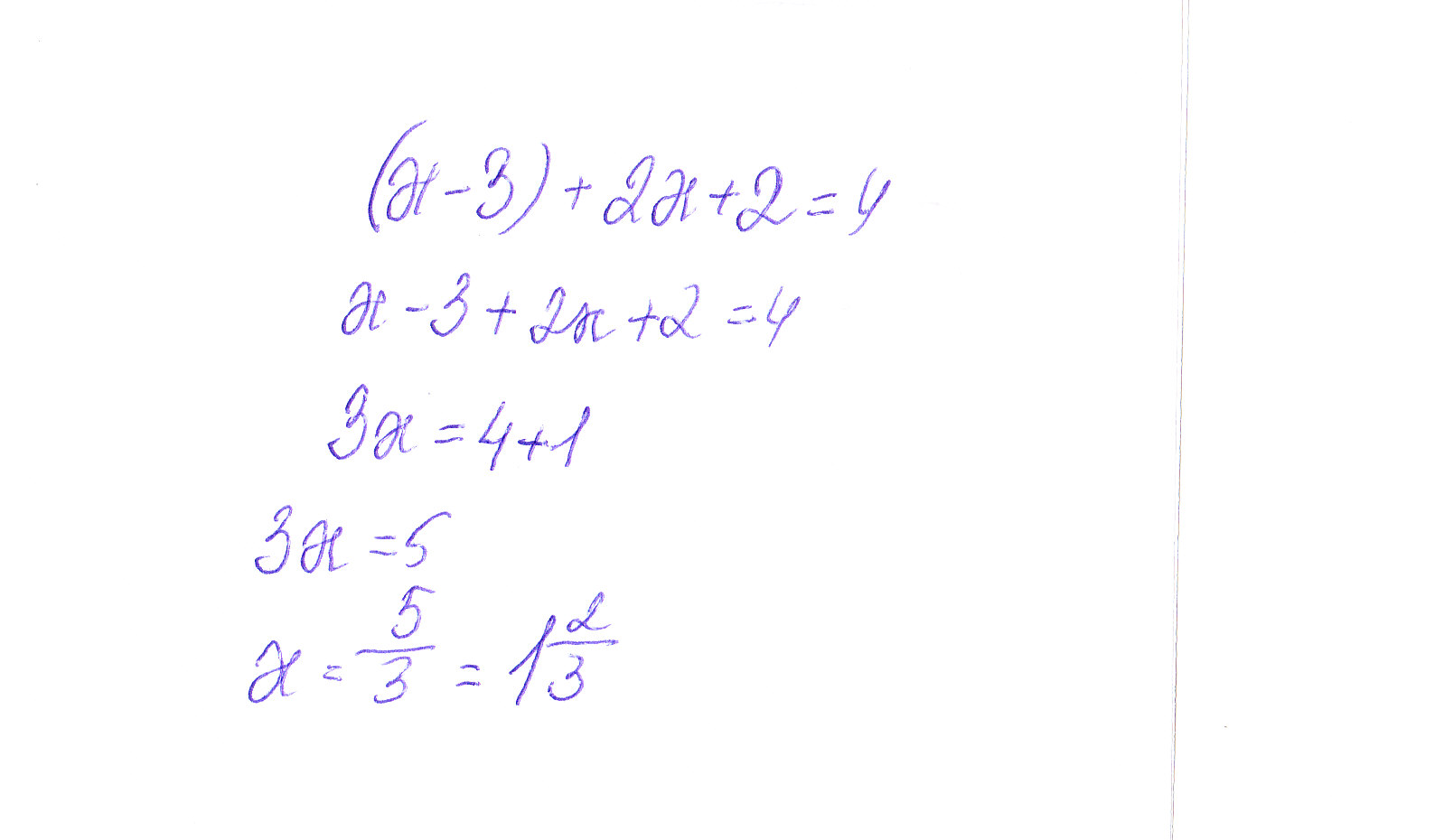
решите уравнение:/x-3/+2/x+1/=4

Ответы

Ответ дал: kaaaaterina
0

вот, тут нужно расскрыть скобки, и неизвестное в одной части оставить, а известное в другую

Приложения:
Вас заинтересует