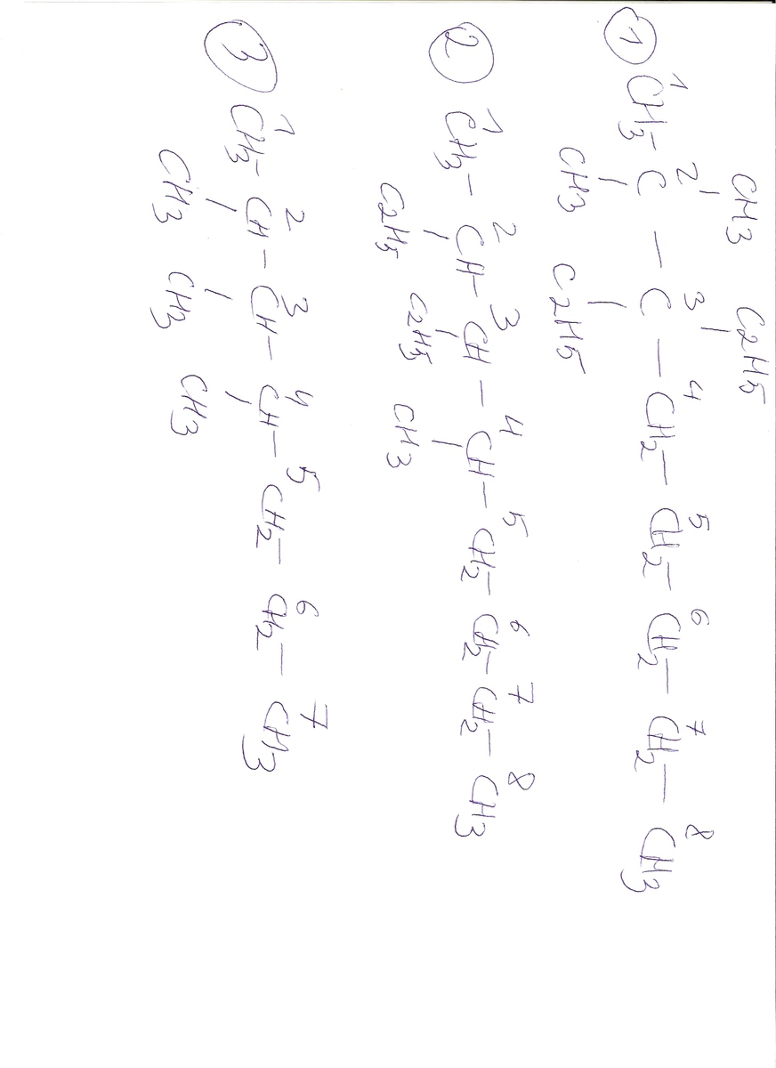
Напишите структурные формулы следующих веществ : а) 2,2-диметил-3,3-диэтилоктан; б)4-метил-2,3-диэтилоктан; в)2,3,4-триметилгептан
Ответы
Ответ дал:
0
1) 2,2-диметил-3,3-диэтилоктан;
2)4-метил-2,3-диэтилоктан;
3)2,3,4-триметилгептан
2)4-метил-2,3-диэтилоктан;
3)2,3,4-триметилгептан
Приложения:

Вас заинтересует
2 года назад
2 года назад
7 лет назад
7 лет назад
10 лет назад
10 лет назад
10 лет назад