• Предмет: Математика
  • Автор: гошан345
  • Вопрос задан 10 лет назад

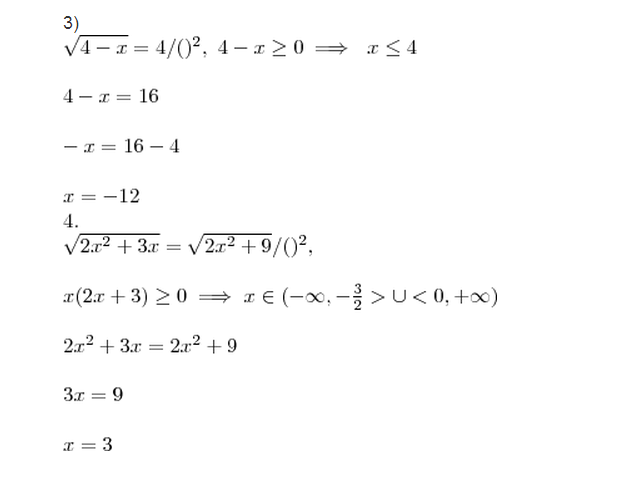
помогите с уравнениями

Приложения:

Ответы

Ответ дал: Аноним
0
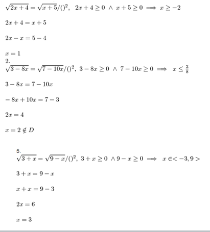
решение внизу, в приложении
Приложения:
Вас заинтересует