Ответы
Ответ дал:
0
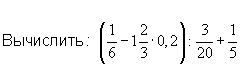
ну как-то типа так..............................................
Приложения:


Ответ дал:
0
спасибо крошк)*
Ответ дал:
0
не за что :D
Вас заинтересует
2 года назад
7 лет назад
7 лет назад