• Предмет: Математика
  • Автор: AntonBabina
  • Вопрос задан 10 лет назад

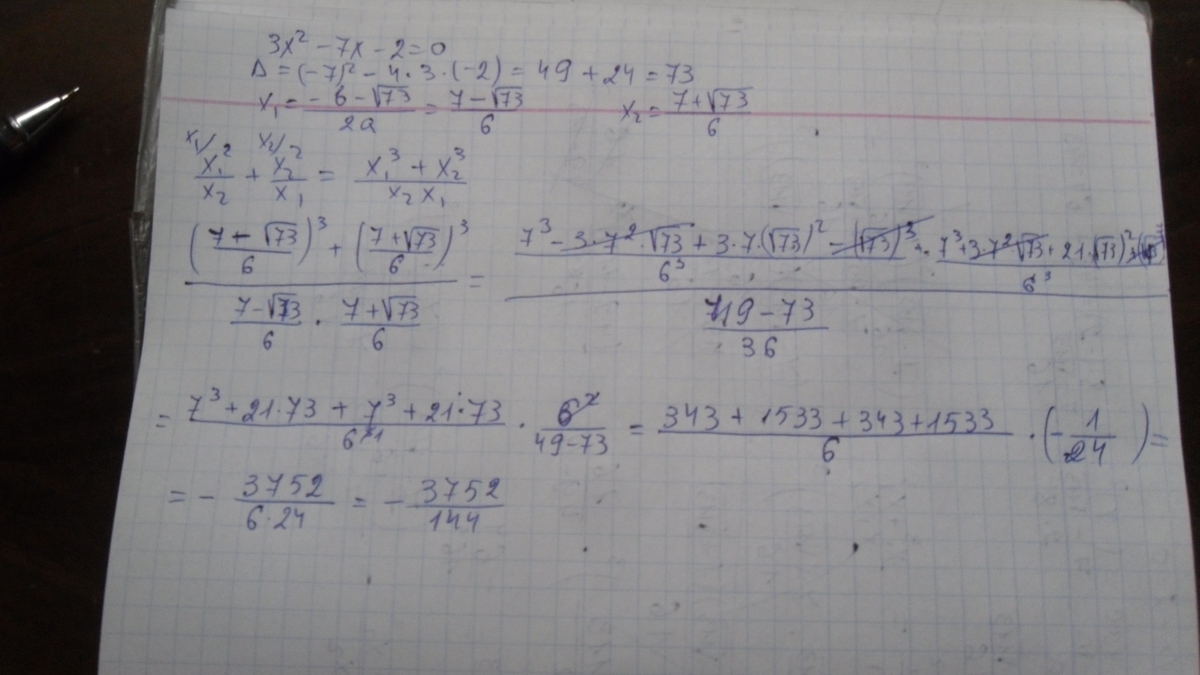
А8 помогите пожалуйста!

Приложения:

Ответы

Ответ дал: EATAconite
0
Изменила....
Думаю так лучше
Приложения:
Ответ дал: Trover
0
В числителе не произведение, а сумма должна быть.
Ответ дал: EATAconite
0
поняла, спасибо
Ответ дал: Trover
0
Кстати, в кв.ур. первый коэффициент не 8 по-моему, а 3. Хотя сам сначала 8 увидел))
Ответ дал: EATAconite
0
без комментариев...
Ответ дал: Trover
0
Так верно. Только последнюю дробь можно сократить на 8 и выделить целые =)
Вас заинтересует