• Предмет: Алгебра
  • Автор: Shane
  • Вопрос задан 11 лет назад

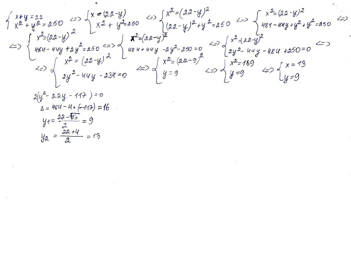
Найдите меньшее из двух чисел,сумма которых равно 22,а сумма их квадратов 250

Ответы

Ответ дал: Fedor
0
Пусть x-1-е число y-2-е чило тогда x+y=22 x^2+y^2=250 x=22-y (22-y)^2+y^2=250 484-44y+y^2+y^2=250 2y^2-44y+234=0 y^2-22y+117=0 Решая это квадратное уравнение имеем корни y=9 и y=13 При y=9 , x=22-y=13 При y=13, ч=22-13=9 То есть наименьшее число 9
Ответ дал: caralimcea
0
ia tibea otpravil reshenie pismenno v private.
Приложения:
Вас заинтересует