• Предмет: Алгебра
  • Автор: Melony2
  • Вопрос задан 10 лет назад

С объяснением, если не трудно) 

Приложения:

Ответы

Ответ дал: Аноним
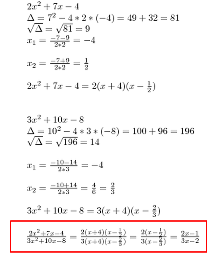
0
решение внизу в приложении
Приложения:
Вас заинтересует