• Предмет: Алгебра
  • Автор: 66Юлия99
  • Вопрос задан 11 лет назад

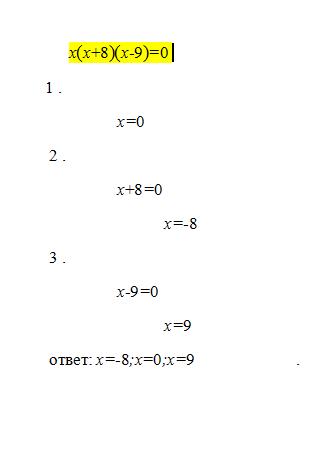
x(x+8)(x-9)=0 помогите решить уравнение

Ответы

Ответ дал: triolana
0

==========================================

Приложения:
Вас заинтересует