• Предмет: Алгебра
  • Автор: MiFoDel
  • Вопрос задан 11 лет назад

Упростить выражение.

  2а       50

дробь-дробь

√а+5   √а+5

 

21       3у вквадрате 

дробь+ дробь

√7-у     у-√7

 

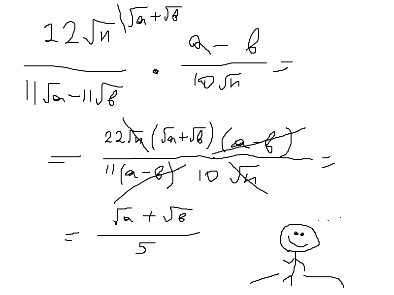
22√n         а-б

дробь  *    дробь

11√а-11√б  10√n 

Ответы

Ответ дал: mave4ka
0

третье не влезло. могу написать через минутку =)

Приложения:
Вас заинтересует