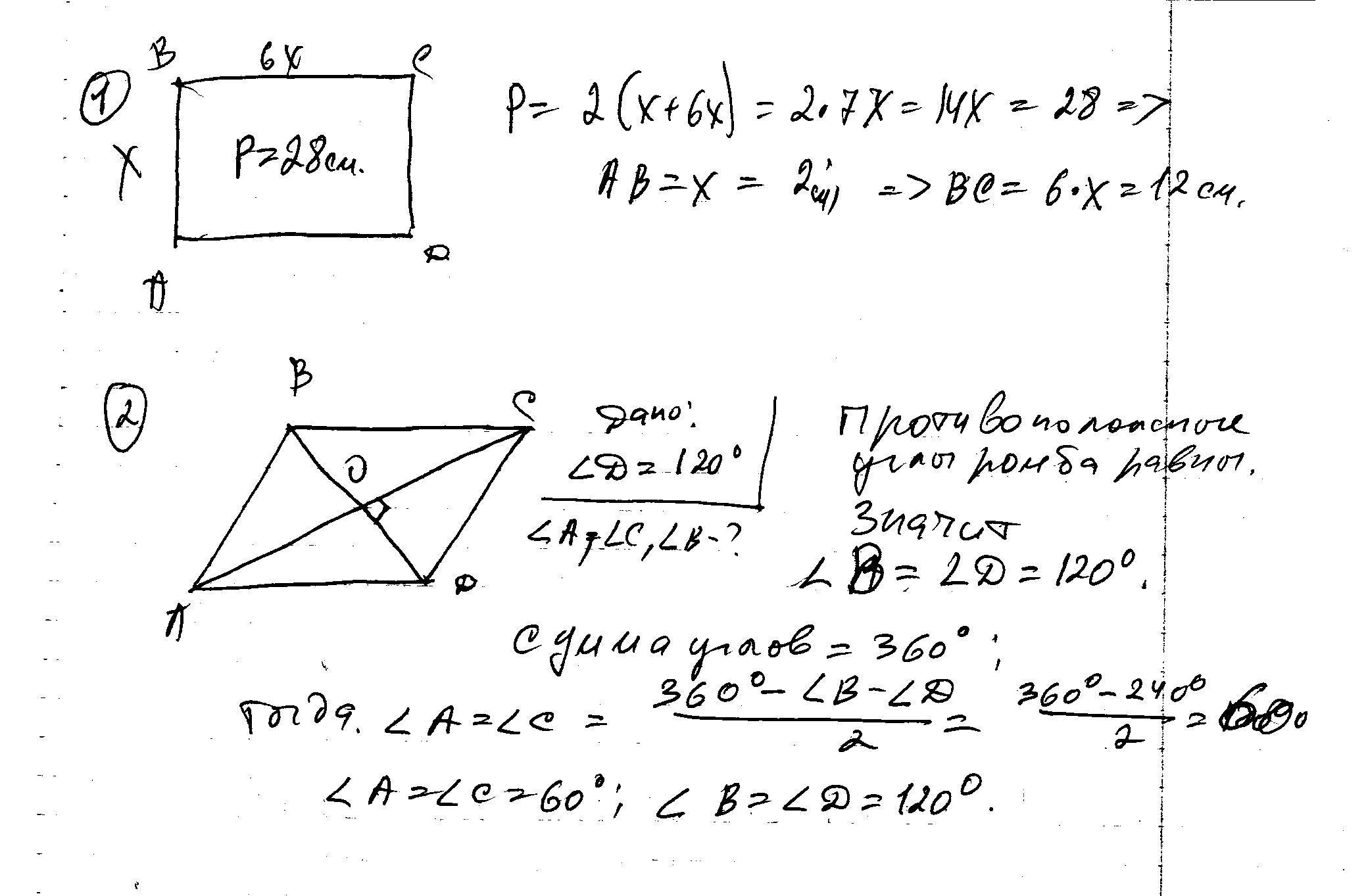
1)Периметр прямоугольника равен 28 см. Найдите стороны прямоугольника, если одна из них в 6 раз больше другой.
2) В ромбе диагонали АС и БД пересекаются в точке О, угол Д =120 градусов. Найдите углы треугольника BOC
Ответы
Ответ дал:
0
решение в скане................
Приложения:
Вас заинтересует
3 года назад
3 года назад
8 лет назад
8 лет назад
11 лет назад
11 лет назад
11 лет назад