• Предмет: Алгебра
  • Автор: ybrbnjy
  • Вопрос задан 10 лет назад

Пожалуйста помогите решить 1041 номер буквы В,Д,Б

Приложения:

Ответы

Ответ дал: Аноним
0
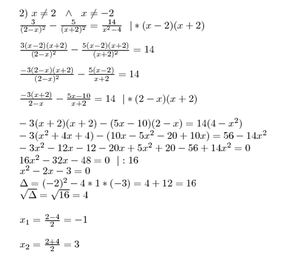
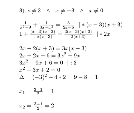
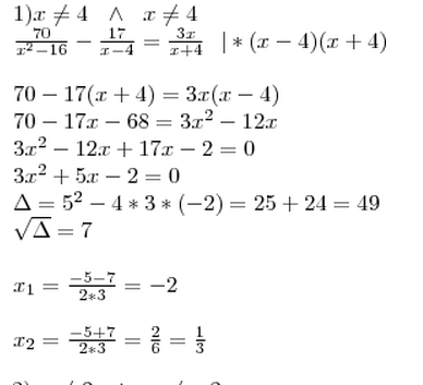
решение внизу в приложении
Приложения:
Вас заинтересует