• Предмет: Алгебра
  • Автор: radistofsumy
  • Вопрос задан 10 лет назад

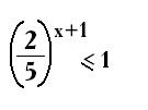
Доброго вечора, допоможіть будь ласка вирішити нерівність

Приложения:

Ответа на этот вопрос пока нет. Попробуйте найти его через форму поиска.

Вас заинтересует