• Предмет: Алгебра
  • Автор: nikitosberdniko
  • Вопрос задан 10 лет назад

Решите два неравенства, срочно!
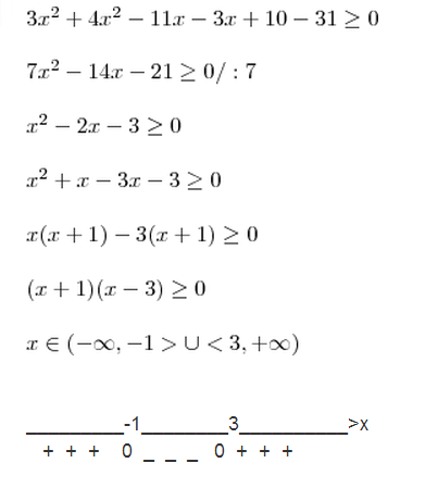
3x^2-11x+10>=-4x^2+3x+31.
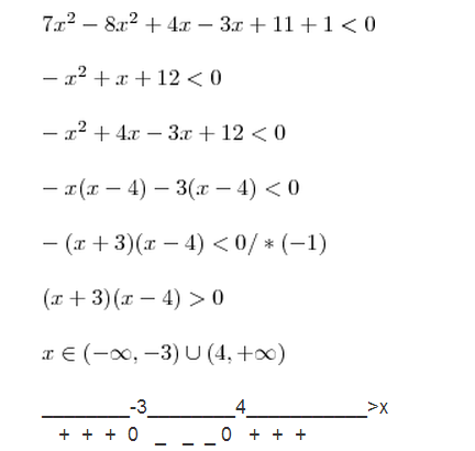
7x^2+4x+11<8x^2+3x-1.

Ответы

Ответ дал: Аноним
0
решение внизу в приложении
Приложения:
Вас заинтересует