Ответы
Ответ дал:
0
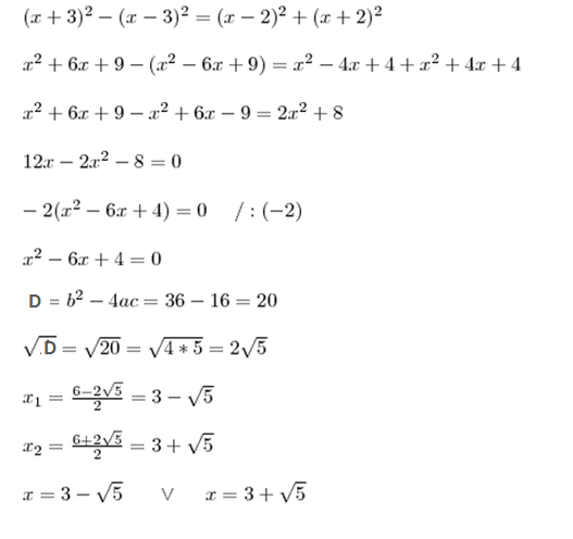
решение внизу в приложении
Приложения:
Ответ дал:
0
левая часть разница квадратов, правая часть квадраты суммы и разности
((х+3)+(х-3))((х+3)-(х-3))=(х²-4х+4)+(х²+4х+4)
раскрываем скобки..
2х*6=2х²+8
2х²-12х+8=0
х²-6х+4=0
получили то же самое что и предыдущий ответивший..
корни получатся также 3+-√5
√5≈2,236
итогом отметить точки
х1≈0,764 и х2≈5,236
((х+3)+(х-3))((х+3)-(х-3))=(х²-4х+4)+(х²+4х+4)
раскрываем скобки..
2х*6=2х²+8
2х²-12х+8=0
х²-6х+4=0
получили то же самое что и предыдущий ответивший..
корни получатся также 3+-√5
√5≈2,236
итогом отметить точки
х1≈0,764 и х2≈5,236
Приложения:
Вас заинтересует
8 лет назад
10 лет назад
10 лет назад
11 лет назад
11 лет назад