• Предмет: Алгебра
  • Автор: Elka2419
  • Вопрос задан 10 лет назад

(((((((((((((((((((((((((((((((((((((((((

Приложения:

Ответы

Ответ дал: arsenlevadniy
0
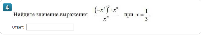
 frac{(-x^2)^5cdot x^8}{x^{21}} = frac{-x^{10}cdot x^8}{x^{21}} = frac{-x^{10}cdot x^8}{x^{21}} = -x^{-3}; \
-(frac{1}{3})^{-3}=-3^3=-27
Вас заинтересует