• Предмет: Алгебра
  • Автор: aLesenka
  • Вопрос задан 11 лет назад

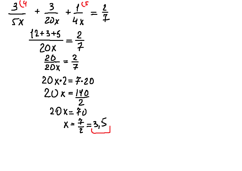
3/5х+3/20х+1/4х=2/7 решите плиз уравнение /-дробь

Ответы

Ответ дал: Аноним
0

РЕШЕНИЕ:

СМ.РИС.

================================================

Приложения:
Вас заинтересует