В равнобедренной трапеции ABCD угол A= углу D=45 градусов, BC=4 см, а высота трапеции равна 3 см. Найдите среднюю линию трапеции
Ответы
Ответ дал:
0
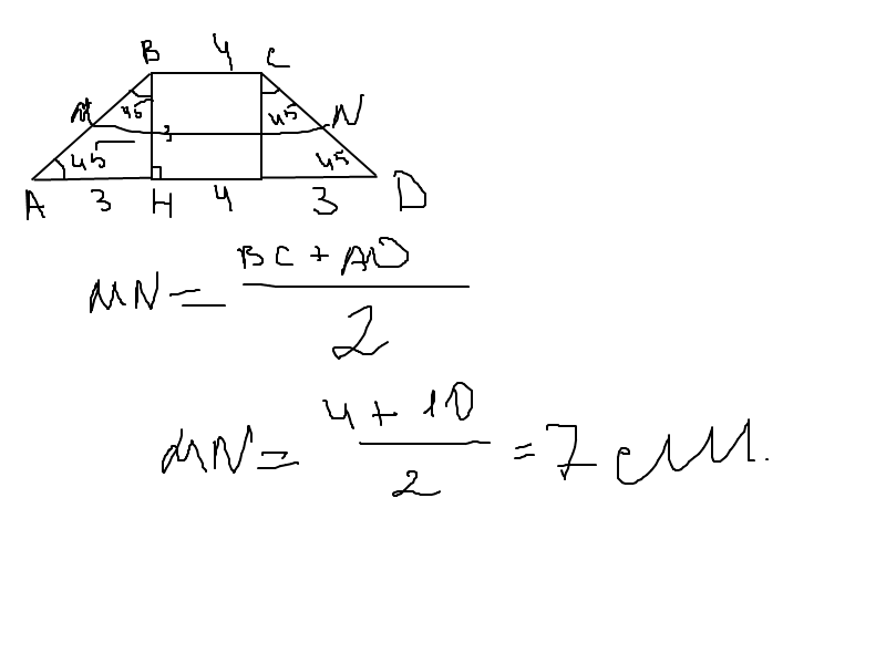
Высота трапеции ВК=высоте трапеции СЕ =3см
Следовательно КЕ=4 см.
т.к. треугольник СDE прямоугольный, то угол CED=90 градусов.
Поусловию угол D=45 градусов => угол ECD=180-90-45=45градусов => треугольник ЕСD равносторонний => СЕ=ЕD=3см
АК=ЕD=3см
Большее основание трапеции АК+КЕ+ЕD=3+4+3=10см
Средняя линия трапеции равна полусумме оснований: (4+10):2=7см
Ответ дал:
0
ABH и CH1D-равнобедренные треугольники,угол A=B=C=45градусам. MN=7cм
Приложения:

Вас заинтересует
2 года назад
2 года назад
8 лет назад
8 лет назад
10 лет назад
10 лет назад
10 лет назад