• Предмет: Алгебра
  • Автор: Малая35
  • Вопрос задан 11 лет назад

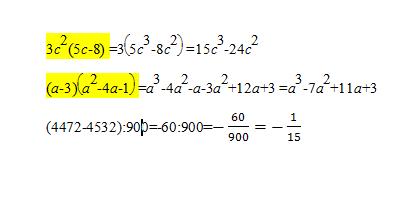
Представьте в виде многочелена: a)3c во 2(5с-8)=

б)(a-3)(а во 2-4а-1)=

Выполните действия:

(4472-4532):900=

 

Ответы

Ответ дал: triolana
0

=============================================

Приложения:
Вас заинтересует