ПОМОГИТЕ ПОЖАЛУЙСТА С ГЕОМЕТРИЕЙ ДЛЯ 9 КЛАССА... ТЕМА: ВЫРАЖЕНИЕ СКАЛЯРНОГО ПРОИЗВЕДЕНИЯ ЧЕРЕЗ КООРДИНАТЫ ВЕКТОРОВ.. ДАЮ 60 БАЛЛОВ...
Задание №1. Найдите скалярное произведение векторов a и b: a=( a;0), b=( 0;b)
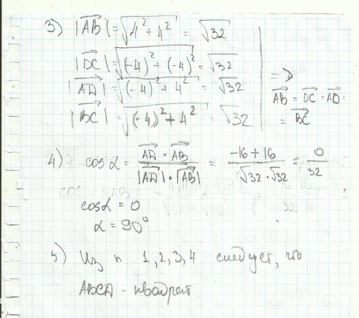
Задание №2. Даны точки A(0;0, B(4;4), C(0;8), D(-4;4). Покажите, что четырёхугольник ABCD- квадрат.
Ответы
Ответ дал:
0
решение в документе. Если что не понятно - объясню)
Приложения:


Вас заинтересует
2 года назад
2 года назад
7 лет назад
10 лет назад
10 лет назад