Ответы
Ответ дал:
0
это неравенства ,они решаются методом интервалов
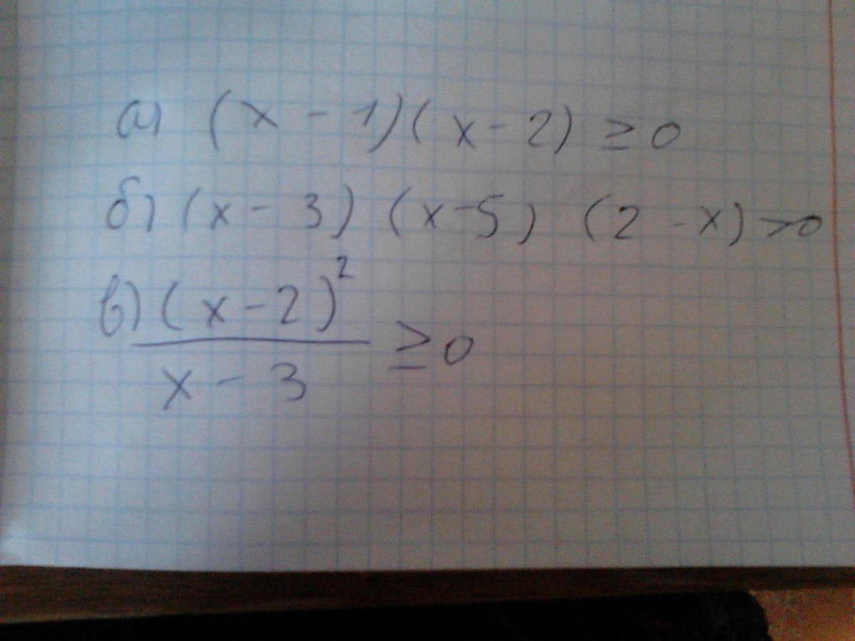
(x-1)(x-2)>=0 x-1=0 x=1 x-2=0 x=2
получили 2 вколотые точки ,отметим их на оси х
берем точку слева от х=1 (х=0) и подставляем в наше нер-во (0-1)(0-2)=-1*(-2)>0 удовл. нер-ву значит х меняется от- беск. до 1
берем х=3 и подст. 3-1)(3-2)>0 удовл нер-ву х(-(2 +беск)
ответ х (- (-беск. 1] и [2 +беск)
2)решается аналогично
3)(x-2)^2/(x-3)>=0 (x-2)^2>=0 всегда значит х-3=0 х=3 на оси х одна выколотая точка х=3 смотрим слева и справа от х=3 берем х =2 и х=4
при х=2 ( х-3)<0 (4-3)>0
у нас числитель полож. значит знамен. должен быть полож. чтобы нер-во было полож. х (- (3 +беск)
(x-1)(x-2)>=0 x-1=0 x=1 x-2=0 x=2
получили 2 вколотые точки ,отметим их на оси х
берем точку слева от х=1 (х=0) и подставляем в наше нер-во (0-1)(0-2)=-1*(-2)>0 удовл. нер-ву значит х меняется от- беск. до 1
берем х=3 и подст. 3-1)(3-2)>0 удовл нер-ву х(-(2 +беск)
ответ х (- (-беск. 1] и [2 +беск)
2)решается аналогично
3)(x-2)^2/(x-3)>=0 (x-2)^2>=0 всегда значит х-3=0 х=3 на оси х одна выколотая точка х=3 смотрим слева и справа от х=3 берем х =2 и х=4
при х=2 ( х-3)<0 (4-3)>0
у нас числитель полож. значит знамен. должен быть полож. чтобы нер-во было полож. х (- (3 +беск)
Вас заинтересует
3 года назад
8 лет назад
8 лет назад
10 лет назад
11 лет назад