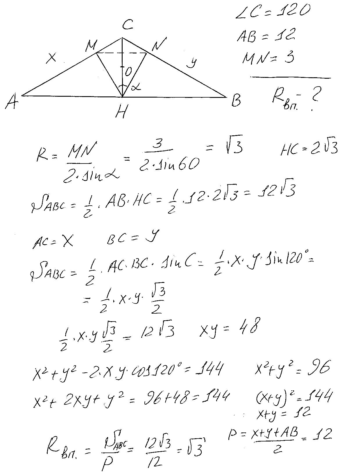
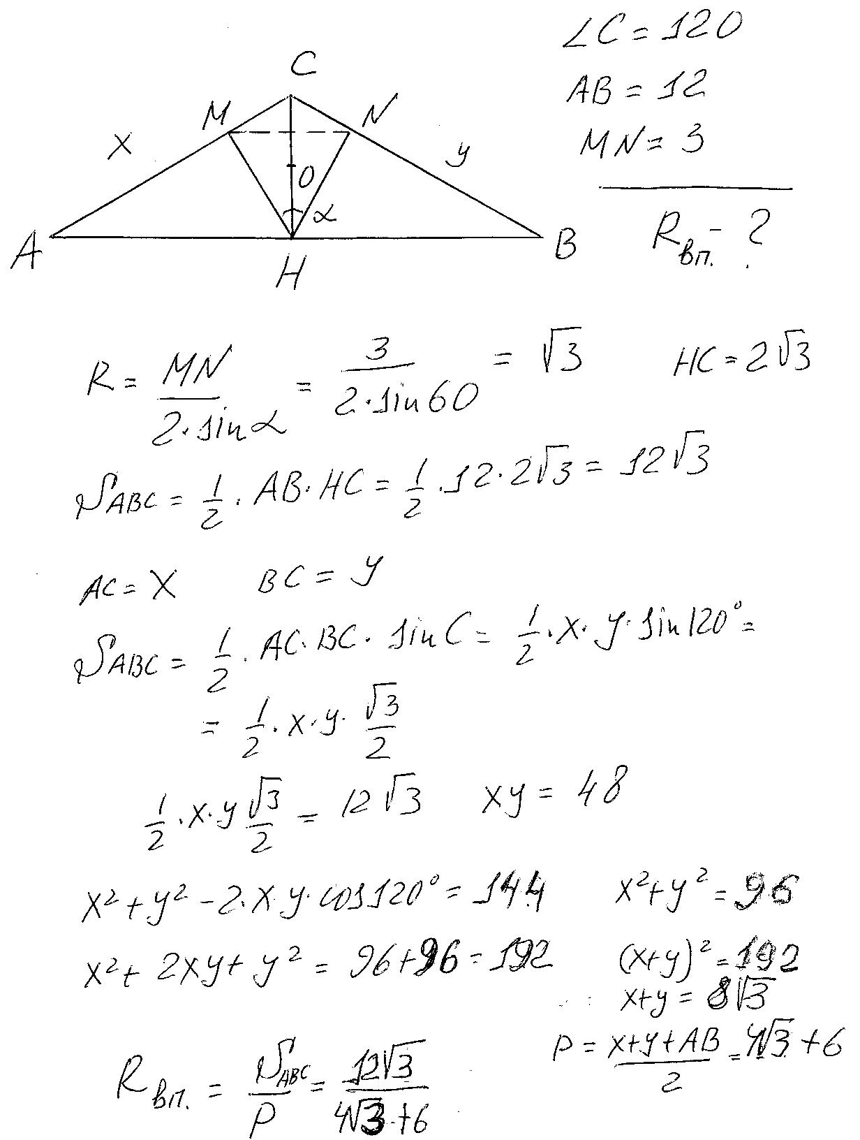
ПОМОГИТЕ ПОЖАЛУЙСТА! отрезок СН-высота треугольника АВС, точки M и N-основания перпендикуляров, проведенных из точки Н к сторонам АС и ВС соответственно. Найдите радиус вписанной окружности треугольника АВС если известно что угол С=120, АВ=12, MN=3
Ответы
Обозначим треугольник АВС(смотри рисунок). Угол "альфа"=60, поскольку в четырёхугольнике НМСN сумма остальных углов равна 90+120+90=300. По теореме синусов находим радиус окружности описанной вокруг треугольника НMN. Поскольку точки M и N, принадлежащие прямоугольным треугольникам СМН и СNН лежат на одной окружности , то окружность описанная вокруг НМN будет также описанной окружностью вокруг треугольников СМН и СNН. У прямоугольных треугольников центр этой окружности лежит на середине гипотенузы, отсюда находим высоту НС. Затем площадь треугольника АВС. Потом, по теореме косинусов-найдём сумму квадратов неизвестных сторон. Добавим к ней произведение Х*У и найдём полупериметр. А дальше по известной формуле Радиус вписанной окружности треугольника АВС равен - 12 корней из3/((4 корня из3)+6).

