• Предмет: Алгебра
  • Автор: Софийкаа
  • Вопрос задан 10 лет назад

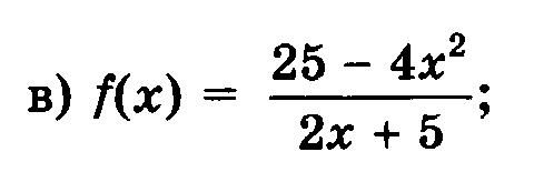
Решить функцию.
Найти область определения и область значений

Приложения:

Ответа на этот вопрос пока нет. Попробуйте найти его через форму поиска.

Вас заинтересует