• Предмет: Алгебра
  • Автор: КнайфариК
  • Вопрос задан 10 лет назад

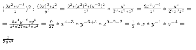
решите подробно: (3х^2*y^-3/z)^2 : (3x)^3*z^2/y^5

Ответы

Ответ дал: Аноним
0
решение внизу в приложении
Приложения:
Вас заинтересует