На диск (динамометра) подвешены 3 груза массокй 5,2,1 кг. Найти F. (Массу диска не учитывать)
Приложения:

Ответы
Ответ дал:
0
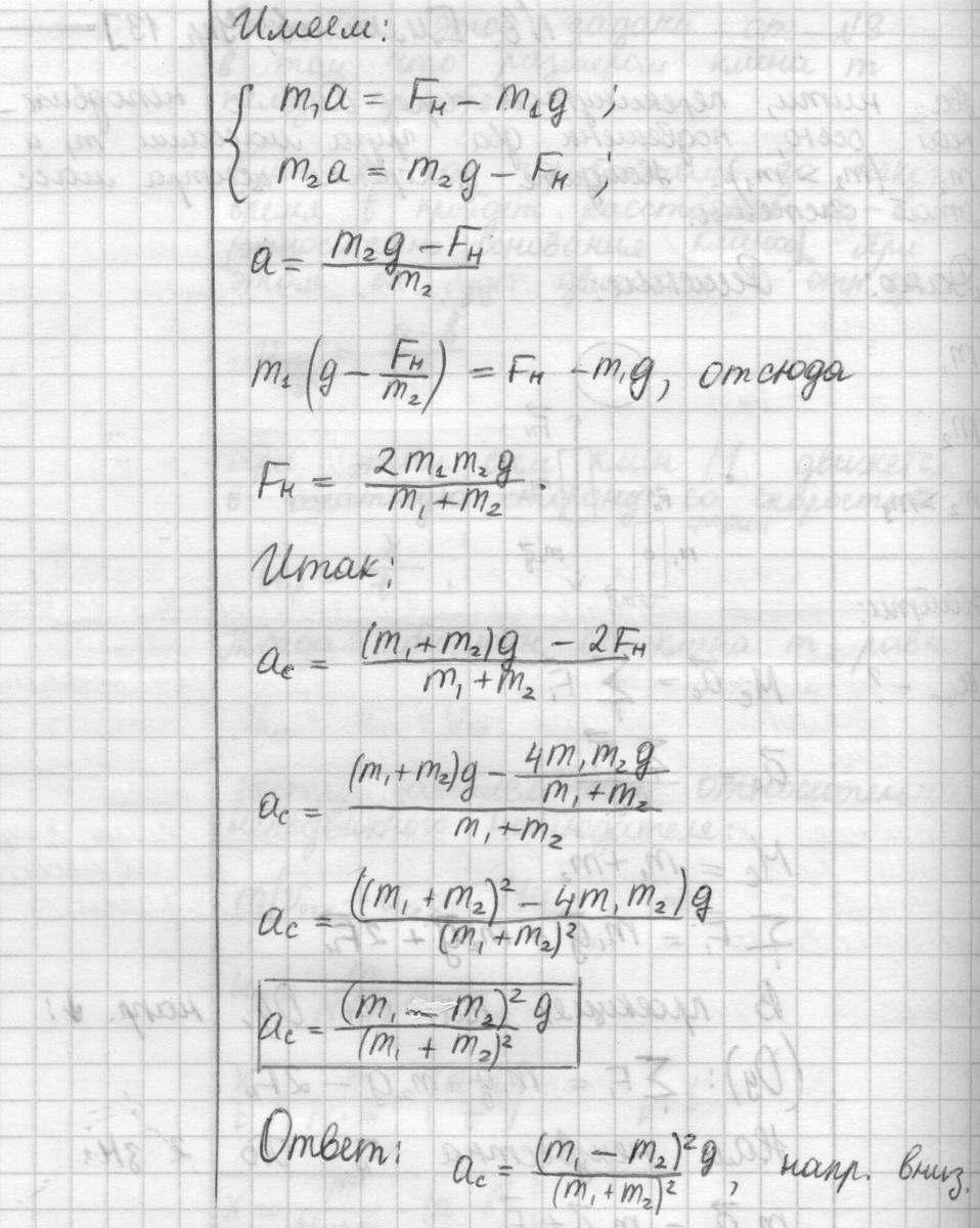
Покапался в своих тетрадках,нашел аналогичную.
Формула будет на второй странице в самом конце,но лучше расписать все как есть.
Формула будет на второй странице в самом конце,но лучше расписать все как есть.
Приложения:


Вас заинтересует
2 года назад
2 года назад
7 лет назад
10 лет назад
10 лет назад
10 лет назад