Ответы
Ответ дал:
0
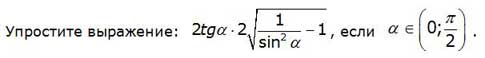
2tga*2 корень 1/sin^2a -1
2tga*2 корень 1+ctg^2a-1
2tga*2ctga
2 sina/cosa * 2 cosa/sina
2*2=4
2tga*2 корень 1+ctg^2a-1
2tga*2ctga
2 sina/cosa * 2 cosa/sina
2*2=4
Вас заинтересует
3 года назад
3 года назад
8 лет назад
10 лет назад
10 лет назад
11 лет назад