Помогите пожалуйста! Вопрос жизни и смерти
Устала очень, голова не соображает, не могу понять, что нужно делать
Если не сделаю эти три примера, завтра двойку влепят ( молю о помощи!
примеры во вкладке
Приложения:
Ответы
Ответ дал:
0
исходное не пишу
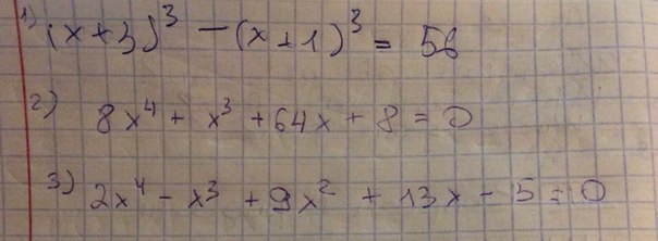
х³+3*3х²+3х*9+27-х³-3х²*3х-1=56
6х²+24х-30=0
х²+4х-5=0
х₁=-4+√(16+20) = -4+6=1
2 2
х₂=-4-√(16+20) = -4-6=-5
2 2
х³(8х+1)+8(8х+1)=0
(8х+1)(х³+8)=0
8х₁+1=0
х₁=-1/8
х₂³+8=0
х₂³=-8
х₂=∛(-8)=-2
третий не знаю, я все-таки пока в 7 классе
х³+3*3х²+3х*9+27-х³-3х²*3х-1=56
6х²+24х-30=0
х²+4х-5=0
х₁=-4+√(16+20) = -4+6=1
2 2
х₂=-4-√(16+20) = -4-6=-5
2 2
х³(8х+1)+8(8х+1)=0
(8х+1)(х³+8)=0
8х₁+1=0
х₁=-1/8
х₂³+8=0
х₂³=-8
х₂=∛(-8)=-2
третий не знаю, я все-таки пока в 7 классе
Вас заинтересует
3 года назад
3 года назад
10 лет назад
11 лет назад