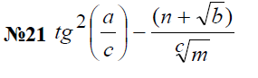
Нужно записать указанную формулу в excel. Ввожу ее так: =TAN^2(B3/B5)-(B7+КОРЕНЬ(B4))/B6^(1/B5), но выдает ошибку и подсчет не происходит. Что я делаю не так?
Приложения:


Ответы
Ответ дал:
0
Тангенс в квадрат возводится у тебя неправильно. Надо так:
TAN(B3/B5)^2-(B7+КОРЕНЬ(B4))/B6^(1/B5)
TAN(B3/B5)^2-(B7+КОРЕНЬ(B4))/B6^(1/B5)
Вас заинтересует
2 года назад
7 лет назад
7 лет назад
10 лет назад
10 лет назад
10 лет назад