• Предмет: Алгебра
  • Автор: vengrazhanovska
  • Вопрос задан 10 лет назад

Помогите решить плиз
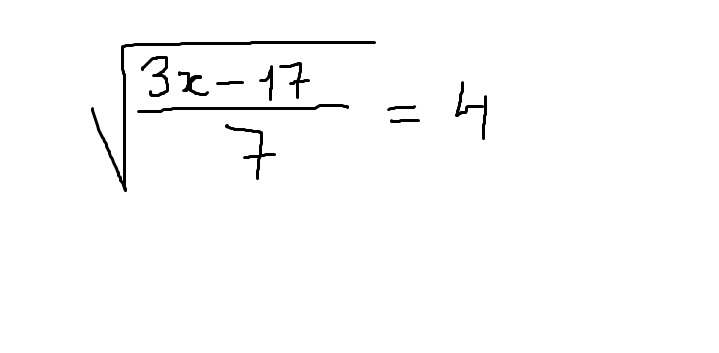
корень из 3x-17/7=4 (картинка)

Приложения:

Ответа на этот вопрос пока нет. Попробуйте найти его через форму поиска.

Вас заинтересует