• Предмет: Алгебра
  • Автор: amirratmir
  • Вопрос задан 10 лет назад

помогите пожалуйста срочно.  выполните действия:

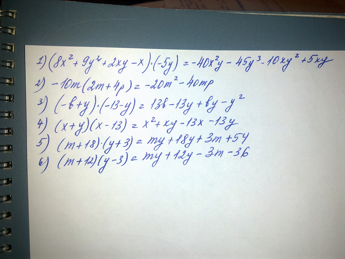
1) ( 8х^2 + 9y^2 +2xy-x)*(- 5y)=.

2)- 10m(2m+4p) = .

3) (-b+y)*(-13 - y ) =.

4) (x+y)(x- 13)=.

5) (m +18)* (y+3)=.

6) (m+12) * (y -3)

Ответы

Ответ дал: Rechnung
0
.......................
Приложения:
Вас заинтересует