• Предмет: Алгебра
  • Автор: 12346qwerty
  • Вопрос задан 11 лет назад

решите систему уравнений методом подстановки

 

x^2 - 3y^2=1,

x-2y=1

 

 

 

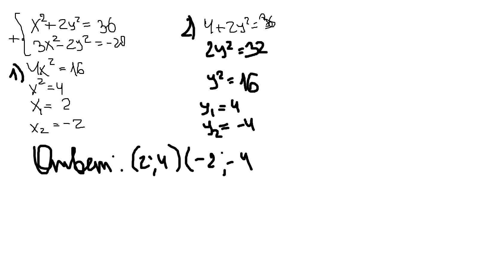
решите систему уравнений методом алгебраического сложения

x^2 + 2y^2=36,

3x^2 - 2y^2 = -20

 

Ответы

Ответ дал: kaaaaterina
0

вот, надеюсь понятно написала

Приложения:
Вас заинтересует